Cecilia Payne-Gaposchkin es una figura monumental en la historia de la astronomía, reconocida por realizar uno de los descubrimientos más importantes del siglo XX. Su trabajo cambió la comprensión de la composición de las estrellas y sentó las bases para la astrofísica moderna.
Nacida en 1900 en Wendover, Inglaterra, Payne fue una pionera en un campo dominado por hombres. En 1923, se trasladó a los Estados Unidos para estudiar en la Universidad de Harvard, donde se unió al Observatorio Harvard College bajo la dirección de Harlow Shapley, un astrónomo conocido por sus estudios sobre la Vía Láctea.

En 1925, Cecilia Payne presentó su tesis doctoral, titulada «Stellar Atmospheres; A Contribution to the Observational Study of High Temperature in the Reversing Layers of Stars» («Atmósferas estelares: una contribución al estudio observacional de altas temperaturas en las capas reversibles de las estrellas»). Fue la primera persona en obtener un doctorado en astronomía de Harvard-Radcliffe, y su tesis sería descrita más tarde como «la tesis doctoral más brillante jamás escrita en astronomía», esta tenía las siguientes claves que cambiarían la historia de la astronomía:
- Descubrimiento de la Composición de las Estrellas:
Payne aplicó las leyes de la física cuántica y la teoría de la ionización de Meghnad Saha para analizar los espectros estelares, es decir, las bandas de luz emitidas por las estrellas que, al ser descompuestas, revelan su composición. A partir de su análisis, llegó a una conclusión asombrosa: las estrellas están compuestas principalmente de hidrógeno y helio, dos elementos ligeros que hasta entonces se creía que eran insignificantes en el cosmos. Este hallazgo contradijo la creencia dominante en la época, que sostenía que las estrellas tenían una composición similar a la de la Tierra. - Aplicación de la Física Atómica a la Astronomía:
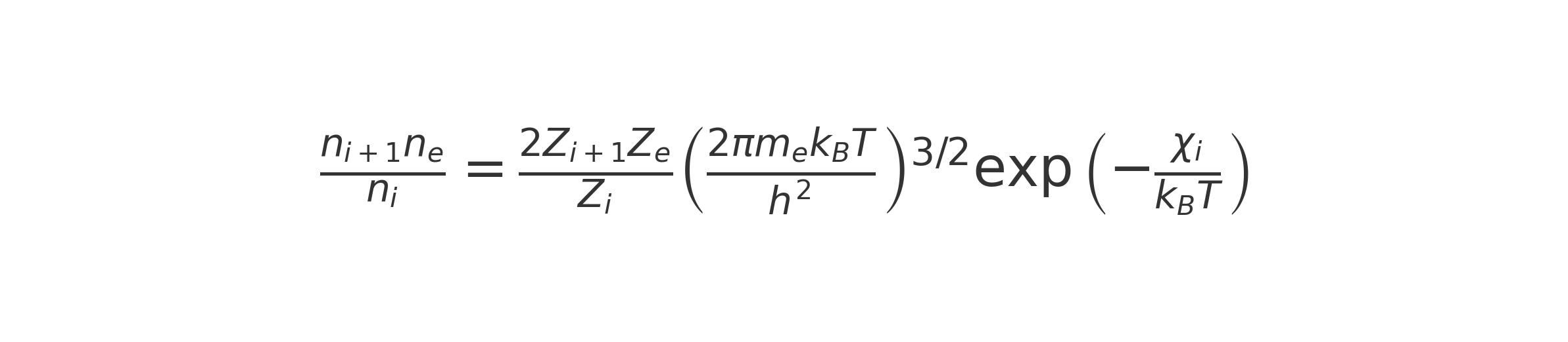
Su trabajo fue uno de los primeros en combinar de manera efectiva la física teórica con la observación astronómica. Utilizó modelos matemáticos para interpretar datos espectrales, estableciendo así una metodología que sigue siendo fundamental en la astrofísica. Payne utilizó datos espectrales de estrellas, que son registros de la luz emitida o absorbida por los átomos y moléculas en las capas externas de las estrellas. Estos espectros contienen líneas oscuras o brillantes que corresponden a la presencia de elementos específicos. Hasta ese momento, los espectros se analizaban principalmente a través de la comparación directa con espectros obtenidos en laboratorios terrestres. Sin embargo, fue una de las primeras en utilizar la física cuántica para interpretar estas líneas espectrales de manera más precisa.La clave fue aplicar la ecuación de Saha (1), una fórmula que describe la ionización de los átomos en función de la temperatura y la presión. Esta ecuación le permitió a Payne calcular las condiciones físicas de las atmósferas estelares, como la temperatura y la densidad, y relacionarlas con la intensidad de las líneas espectrales observadas.
Cuantificación de la Abundancia Elemental: Usando la teoría de la ionización, Payne no solo identificó qué elementos estaban presentes en las estrellas, sino que pudo estimar sus abundancias relativas. Este enfoque permitió descubrir que el hidrógeno y el helio eran, por mucho, los elementos más abundantes en las estrellas, lo que contrastaba radicalmente con las teorías anteriores que suponían que las estrellas tenían una composición similar a la de la Tierra.
Modelo de Atmósferas Estelares: Payne desarrolló modelos teóricos de las atmósferas estelares, que son las capas exteriores de las estrellas donde se originan las líneas espectrales. Estos modelos tenían en cuenta cómo las condiciones físicas, como la temperatura y la presión, afectan la ionización de los átomos y, por lo tanto, la apariencia del espectro estelar. Al combinar estos modelos con observaciones espectrales reales, fue capaz de hacer deducciones más precisas sobre la naturaleza de las estrellas.
Importancia y Reconocimiento
Aunque Payne identificó correctamente la abundancia de hidrógeno y helio en las estrellas, su descubrimiento fue inicialmente desestimado por sus colegas, incluido el prestigioso astrónomo Henry Norris Russell, quien, tras revisar su trabajo, le aconsejó que suavizara sus conclusiones. Sin embargo, unos años después, Russell confirmó las conclusiones de Payne usando métodos independientes y reconoció su contribución.
Hoy en día, la tesis de Cecilia Payne es considerada por muchos como la mejor tesis doctoral jamás escrita en astronomía. Su descubrimiento de que el hidrógeno es el elemento más abundante en el universo cambió radicalmente nuestra comprensión del cosmos y abrió el camino para el desarrollo de la teoría de la nucleosíntesis estelar, que explica cómo se forman los elementos en el interior de las estrellas.
La puedes descargar y leer aquí:

Legado en la Astronomía Actual
El trabajo de Payne es fundamental para la astronomía moderna. Su descubrimiento no solo cambió nuestra comprensión de la composición estelar, sino que también influyó en áreas como la cosmología, la evolución estelar y la astrofísica teórica. Además, su enfoque metodológico ha inspirado a generaciones de astrónomos a utilizar la física teórica como una herramienta clave en la interpretación de los datos observacionales.
Cecilia Payne-Gaposchkin no solo fue una pionera en su campo, sino que también allanó el camino para las mujeres en la ciencia, demostrando que con rigor y determinación, es posible hacer descubrimientos que transforman nuestra comprensión del universo.
(1) La ecuación de Saha, también conocida como la ecuación de ionización de Saha, es fundamental para comprender el grado de ionización de un gas en función de la temperatura y la presión. La ecuación se utiliza ampliamente en astrofísica para describir las condiciones físicas en las atmósferas estelares.
La ecuación de Saha se expresa como:

Donde:



Deja un comentario