Propiedades

Podemos hablar de propiedades microfísicas (tamaño, composición y forma) y propiedades ópticas (espesor óptico, función de fase, albedo de dispersión simple), así como de su distribución vertical de concentración. Nos centraremos en el espesor óptico de aerosoles, propiedad óptica o radiativa, a partir de la cual se puede analizar su influencia en el forzamiento radiativo.

 Espesor óptico de aerosoles (AOD)

Desde el espacio, mediante el uso de la teledetección y desde estaciones en Tierra se obtienen medidas muy precisas de aerosoles, siendo la medida más importante el espesor óptico de aerosoles (AOD o  τa) ya que puede ser aplicado en los cálculos de transferencia radiativa y en la evaluación del tratamiento de los aerosoles en los modelos regionales y el clima, pues representa la carga total de aerosoles en la columna atmosférica. Representa además la extinción de la radiación como consecuencia de la suma de la absorción y de la dispersión espectral de las partículas.

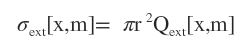
A partir de la teoría de Mie[1], el espesor óptico de extinción de aerosoles en la columna se  obtiene como la suma de la extinción de las partículas:

 Captura (1.1)

donde Qext es el factor de eficiencia de extinción de Mie de una partícula de radio r e índice de refracción m que interactúa con una onda de longitud de onda λ, tal que x = 2πr/λ, n(r) es la función de distribución de tamaño. La sección eficaz de dispersión de una partícula aislada será:

Captura(1.2)

que representa la extinción de la radiación incidente λ por una partícula de radio r e índice de refracción m.

El espesor óptico es una magnitud directamente calculable a partir de las medidas desde suelo o satélite, ya que viene determinada por la transmisividad atmosférica.

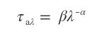
Al contrario que la absorción por otros componentes gaseosos, los aerosoles no poseen bandas selectivas, por lo que su extinción se produce de forma continua en función de la longitud de onda. Caracterizar la dependencia espectral del AOD es de gran importancia, entre otras cosas, para poder abordar los efectos radiativos de los aerosoles, el cálculo de otros parámetros atmosféricos y la corrección de imágenes en el estudio de la superficie con teledetección o la identificación de fuentes de aerosoles y su evolución temporal (Eck et al., 1999). La dependencia espectral del AOD se parametriza habitualmente mediante la ley de Ångström (Ångström, 1929), que relaciona el espesor óptico de aerosoles con la longitud de onda (en μm) a través de la siguiente expresión:  Captura (1.3)

donde β es el coeficiente de turbiedad de Ǻngström y α el llamado exponente de Ångström. El primero se relaciona directamente con la cantidad de aerosoles en la columna atmosférica y representa el espesor óptico de aerosoles a 1 μm, mientras que el segundo está relacionado con el tamaño de los aerosoles presentes.

     De esta forma, el exponente de Ångström describe la dependencia del espesor óptico con la longitud de onda y aporta también información acerca del tamaño de las partículas. Los valores típicos van desde:

  • α ≈ 0, para casos dominados por partículas gruesas (polvo, partículas higroscópicas o agregadas),

–   α > 2 en distribuciones donde dominan las partículas finas (Eck et al., 1999).

Anuncios

MODIS (Moderate Resolution Imaging Spectroradiometer)

El sensor MODIS[2] es un espectrorradiómetro a bordo de dos satélites de órbita polar del programa espacial EOS de la NASA (figura 1). Los dos satélites son: EOS Terra (lanzado en diciembre de 1999 y primera imagen el 24 de febrero de 2000) y EOS Aqua (lanzado en mayo de 2002 y primera imagen el 24 de junio de 2002), situados en órbita a una altitud media de 708 y 705 km, respectivamente.

Terra está programado para cruzar el ecuador de norte a sur a las 10.30 de la mañana, mientras que Aqua lo hace de sur a norte a las 13.30 hora local. Ambos proporcionan una cobertura global de la superficie terrestre cada 1 ó 2 días dependiendo de la latitud. Dan una vuelta a la Tierra aproximadamente en 90 minutos, realizando 16 órbitas por día. La órbita va cambiando cada día pero se repite cada 16 días.

 MODIS fue diseñado con el fin de monitorizar el estudio global de la atmósfera y la superficie desde el espacio, de forma que mide continuamente la radiancia emitida y reflejada por la superficie y la atmósfera. Se trata de un sensor de barrido que posee un espejo móvil que oscila de forma perpendicular a la trayectoria con un ángulo de 55º a cada lado, lo que le confiere un swath o anchura del escaneado de 2330 km por 10 km a lo largo de la órbita (en nadir).

 Este instrumento dispone de 36 bandas espectrales[3] que van desde el visible al infrarrojo térmico (0.415 – 14.235 μm). Las primeras 19 bandas abarcan la región del espectro electromagnético situada entre 0.405 y 2.155 μm, mientras que las bandas de la 20 a la 36 cubren la parte del infrarrojo térmico del espectro, de 3.660 a 14.385 μm. MODIS proporciona imágenes con tres resoluciones espaciales diferentes: 250 m (bandas 1 – 2), 500 m (bandas 3 – 7) y 1000 m (bandas 8 – 36).

 Todos los datos se transfieren a las estaciones terrestres en White Sands, Nuevo México. Existen datos disponibles para su descarga en varias fuentes siendo la Web “LAADS” de la NASA la utilizada en este trabajo para la descarga de datos MOD04_L2 (terra) y MYD04_L2 (aqua).

Captura

Figura 1. Sensor MODIS, fuente:EOS Platforms/Sensors and Mission Profiles.

 Productos atmosféricos de MODIS

Los productos atmosféricos de MODIS se dividen en cuatro niveles diferentes (0 a 3) dependiendo del grado de procesado realizado (figura 3):

    Nivel 0: son los datos directos del instrumento sin  ningún tratamiento.

  Nivel L1: son datos de geolocalización (MOD03) que contienen coordenadas geodésicas, información de la elevación del terreno, máscara de tierra/agua, ángulo de elevación, cenit y azimut del satélite y del sol.

 Nivel 1A: son productos utilizados para la geolocalización, calibración y procesado. Contienen niveles de radiancia (MOD01) de las 36 bandas, junto con datos auxiliares del sensor y del satélite.

  Nivel 1B: contienen las radiancias calibradas y con geolocalización (MOD02) para las 36 bandas generadas por el nivel 1A.

  Nivel L2: son los productos que contienen variables geofísicas calculadas a partir del producto de nivel 1B aplicando correcciones atmosféricas y diversos algoritmos. Estos productos se almacenan en gránulos, que corresponden a 5 minutos de datos tomados por MODIS, de forma que cada uno tiene un tamaño de aproximadamente 2340 x 2330 km.

  Nivel 3: son productos de valor agregado que se derivan de las variables geofísicas del nivel 2. Se suelen obtener realizando un muestreo a una menor resolución espacial que la de las bandas originales y se elaboran para intervalos de tiempo de 1, 8, 16 y 30 días.

En el diagrama de la figura 3 se han presentado los diferentes productos atmosféricos de MODIS, qué contienen y a qué nivel pertenecen (Segura,S. 2012). Dichos productos se denominan MYD o MOD según correspondan a medidas de Aqua o Terra, respectivamente. Las medidas tomadas por el sensor MODIS son periódicamente transferidas a tierra, donde se procesan. El primer paso consiste en crear el producto MOD01 (nivel 1), este producto es separado en gránulos de medidas tomadas cada 5 minutos, obteniéndose un total de 244 gránulos diarios que dan cobertura de todo el planeta.

 Los datos de nivel 1A (M?D01[4]) son procesados, geolocalizados y almacenados en diferentes archivos en función de las bandas para cada tamaño de píxel (250 m, 500 m y 1000 m), obteniéndose los productos M?D02 y M?D03 (geolocalización de 1km de resolución espacial).

A partir de éstos se obtienen los de nivel 2, entre los que se encuentran: la máscara de nubes (M?D35), necesaria para distinguir cielos claros o con nubes; productos de aerosoles (M?D04), de donde se extraen los datos empleados en este trabajo; productos de vapor de agua (M?D05); productos de nubes (M?D06); y perfiles atmosféricos (M?D07). De estos productos se derivan los de nivel 3 (M?D08) que consisten en estadísticas de alguno de los productos anteriores. En la figura 2 se presenta un esquema de los productos atmosféricos MODIS.

Captura

 Figura 2. Diagrama de los productos atmosféricos de MODIS (Segura, S. 2012)

[1] La Teoría de Mie, también llamada teoría de Lorenz-Mie, es una solución completamente analítica a las ecuaciones de Maxwell para la dispersión de la radiación electromagnética por partículas esférica

[2] http://modis-atmos.gsfc.nasa.gov/index.html

[3] http://modis.gsfc.nasa.gov/about/specifications.php

[4] Llamaremos M?D a los productos MOD y MYD de MODIS

Anuncios

3 respuestas a «Propiedades de los Aerosoles»

  1. Avatar de Gracias por seguirnos :) | Experiencias Astronómicas

    […] Propiedades de los Aerosoles […]

    Me gusta

  2. Avatar de Astronomía | UNIVERSO Blog

    […] Propiedades de los Aerosoles […]

    Me gusta

  3. Avatar de La temperatura media de la Tierra sigue PREOCUPANTEMENTE en aumento | Astronomia Blog

    […] Propiedades de los Aerosoles […]

    Me gusta

Deja un comentario

Este sitio utiliza Akismet para reducir el spam. Conoce cómo se procesan los datos de tus comentarios.