El Fotómetro solar CIMEL CE318 es un instrumento diseñado para la medida autónoma y automática de la radiancia solar directa y de cielo, tanto en plano almucántar como principal. En modo automático, las medidas de irradiancia solar directa se realizan cada 15 minutos. A través de estas medidas directas se pueden extraer el espesor óptico de aerosoles y el vapor de agua precipitable.
Fotómetro solar CIMEL CE318 ubicado en la Facultad de Física de la Universidad de Valencia
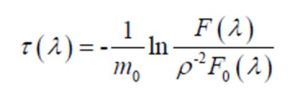
Para la obtención del espesor óptico se recurre a la ley de Beer. Según esta ley, el espesor óptico total se obtiene a través del flujo solar directo a nivel del suelo (F) y el flujo extraterrestre (F0):
donde m0 es la masa óptica que se define como la relación entre los espesores ópticos en la vertical y en el camino directo solar y se supone igual para todos los componentes atmosféricos. Por su parte, ρ es el radio vector o distancia relativa entre el Sol y la Tierra, cuyo papel en la ecuación consiste en modular el flujo solar extraterrestre a lo largo del año; F(λ) representa el flujo de energía solar que no habiendo interaccionado con la atmósfera, llega al suelo en incidencia directa; y F0(λ) se refiere a aquél que aún no ha tenido oportunidad de interaccionar con la atmósfera. Debido a que nuestro interés se centra en el cociente de ambas magnitudes (F y F0), éstas pueden sustituirse por el valor de la señal del instrumento.
De la ecuación anterior, el espesor óptico total τ(λ) se descompone en diferentes contribuciones de varios atenuadores, según la región espectral de estudio. Estas contribuciones vienen dadas por:

siendo τa(λ) el espesor óptico de aerosoles, τR(λ) el espesor óptico de dispersión molecular o de Rayleigh, τO3(λ) la contribución al espesor óptico debida a la absorción del ozono, τw(λ) la debida a la absorción del vapor de agua y τNO2(λ) la debida al dióxido de nitrógeno. Según qué canal se utilice, algunas contribuciones pueden despreciarse sin cometer un error apreciable en el AOD, dado que algunos canales se encuentran en ventanas espectrales. Una explicación más detallada de la obtención de las diferentes variables necesarias para el cálculo del espesor óptico de aerosoles puede encontrarse en Estellés (2006).
La selección de las longitudes de onda con las que se medirá se realiza por medio de filtros interferenciales insertados en una rueda de filtros de nueve posiciones. En general el conjunto mínimo de longitudes de onda empleadas para las medidas de espesor óptico de aerosoles (AOD) son: 440, 670, 870 y 1020 nm. También se utiliza un canal extra, de 940 nm, para la determinación del contenido total de vapor de agua precipitable. Por otro lado, a través de las medidas del fotómetro solar CIMEL también pueden obtenerse otras características de los aerosoles, como las distribuciones de tamaño y otras propiedades.




Deja un comentario